О том что такое жиры, вернее липиды и зачем они нужны организму я рассказала в прошлой статье (читать статью "Что такое жиры и зачем они нужны?"). А сегодня мы разберем одну из больших и важных групп липидов — стероиды, которые выполняют разнообразные функции в нашем организме.
Что такое стероиды
Стероиды – широко распространенные в природе соединения. Стероиды являются липидами, потому что они нерастворимы в воде, то есть гидрофобны, но в отличие от жирных кислот и других липидов они имеют особую структуру состоящую из четырех соединенных между собой колец. Небольшие изменения в этой структуре или присоединение к ней группы атомов дают огромные различия в биологической активности стероидов.

Рис.1 Общая схема строения стероидов.
К стероидам относятся гормоны коркового вещества надпочечников, желчные кислоты, витамины группы D. Кроме того, к стероидам относят соединения растительного происхождения, обладающие ценными фармакологическими свойствами: стероидные алкалоиды, гликозиды дигиталиса (сердечные гликозиды) и стероидные сапонины.
В организме человека важное место среди стероидов занимают стерины (стеролы), т.е. стероидные спирты. Главным представителем стеринов является холестерин (холестерол). Холестерин присутствует только в животных жирах. В растениях и дрожжах содержатся близкие по структуре к холестерину соединения — β-ситостерин, стигмастерин, эргостерин (предшественник витамина D).

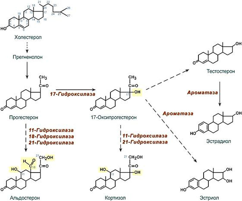
Рис.2 Схема синтеза стероидных гормонов из холестерина.
Еще две важные группы стероидов это желчные кислоты и стероидные гормоны.
- - прогестерон
- - кортизол
- - альдостерон
- - тестостерон
- - эстрадиол
- - кальцитриол
У насекомых и растений также присутствуют стероидные гормоны. Экдизон (стероидный гормон насекомых стимулирующих линьку) представляет собой более раннюю в эволюционном отношении форму стероидов. Брассиностероиды — фитогормоны класса стероидов, поддерживающие нормальное функционирование иммунной системы растения, особенно в неблагоприятных условиях.
Холестерин
У холестерина плохая репутация из-за его участия в развитии атеросклероза. Действительно избыток холестерина является одним из ключевых факторов в образования бляшек в сосудах и повышению сердечно-сосудистых рисков. Однако роль холестерина в организме не всегда негативна. Холестерин жизненно важен для нас и присутствует в каждой клетке нашего организма.
Холестерин или холестерол — липид относящийся к семейству стероидов. Он синтезируется во многих тканях человека, но основным местом синтеза является печень. В печени синтезируется более 50% холестерина, в тонком кишечнике — 15-20%, остальной холестерин синтезируется в коже, коре надпочечников и половых железах. В сутки в организме синтезируется около 1 г холестерина, а с пищей поступает в среднем 300-500 мг.
Синтез холестерина происходит в гладком эндоплазматическом ретикулуме клетки. Он включает в себя 35 последовательных реакций и начинается с объединения двух молекул ацетил-КоА. В результате нескольких реакций образуется промежуточное вещество ГМГ-КоА которое с помощью фермента ГМГ-КоА-редуктазы восстанавливается с образованием мевалоната.

Рис.3 Схема синтеза холестерина.
Это важный этап в синтезе холестерина, он является лимитирующим шагом регулирующим скорость синтеза холестерина. Количество и скорость образования холестерина зависят от активности фермента участвующего в этой реакции — ГМГ-КоА-редуктазы (при приеме статинов данный фермент блокируется). Активность фермента снижается под влиянием глюкагона, глюкокортикоидов, больших доз никотиновой кислоты, а также по принципу обратной связи (уровень холестерина в крови и количества поступившего с пищей). Также скорость синтеза холестерина в печени подвержена суточным колебаниям — максимум в полночь, а минимум в утренние часы.
Так как холестерин (как все липиды) нерастворим в воде, транспорт его по системе кровотока осуществляется с помощью специальных белковых молекул — липопротеидов.
- - входит в состав клеточных мембран (делает ее более плотной и менее проницаемой)
- - используется для синтеза стероидных гормонов и витамина D3
- - используется для синтеза желчных кислот

Рис.4 Функции холестерина в организме.
Стероидные гормоны
Стероидные гормоны — это группа гормонов, принадлежащих к классу стероидов, секретируются главным образом тремя стероидными железами: корой надпочечников, яичками/яичниками и плацентой в период беременности. Все типы стероидных гормонов образуются из холестерина и транспортируются кровотоком к клеткам органов-мишеней для выполнения и регулирования различных физиологических функций.
Стероидные гормоны сгруппированы в два класса: кортикостероиды и половые стероиды:
Кортикостероиды — вырабатываются в коре надпочечников. Существует два основных класса кортикостероидов — глюкокортикоиды и минералокортикоиды, они участвуют в различных процессах организма: реакции на стресс, иммунного ответа и регуляции воспаления, углеводного обмена, катаболизма белков, уровня электролитов в крови.
Глюкокортикоиды — играют важную роль в контроле метаболизма глюкозы и реакциях иммунной системы (уменьшают воспаление). В медицине применяются при аллергии, астме, аутоиммунных заболеваниях и сепсисе.
Минералокортикоиды — поддерживают солевой и водный баланс в организме (баланс электролитов и баланс жидкости). Альдостерон является основным минералокортикоидом.

Рис.5 Стероидные гормоны.
Половые гормоны — андрогены, эстрогены и прогестагены
Прогестагены — наиболее важным прогестагеном в организме человека является прогестерон. Название прогестагены дано из-за их функции в поддержании беременности. Хотя они присутствуют и в другие фазы менструального цикла.
Андрогены — гормоны регулируют выработку и поддержание мужских признаков включая эмбриологическое развитие первичных мужских половых органов, а также развитие мужских вторичных половых признаков в период полового созревания. Андрогены вырабатываются в яичках, яичниках и надпочечниках. Тестостерон – гормон, который способствует развитию и поддержанию вторичных половых признаков у мужчин.
Эстрогены — гормоны участвующие в контроле женской репродуктивной системы, а также вторичных половых признаков у женщин. Эстрон (Е1), эстрадиол (Е2) и эстриол (Е3) являются тремя основными эндогенными эстрогенами. Наиболее мощным и распространенным эстрогеном является эстрадиол. Эстетрол (Е4) — еще один эстроген, который выделяется только во время беременности.
Витамин D
Витамин D — это целая группа родственных веществ сходных по химическому строению — секо-стероиды.
- - витамин D1 — соединение эргокальциферола и люмистерола
- - витамин D2 — эргокальциферол
- - витамин D3 — холекальциферол
- - витамин D4 — дигидротахистерол
- - витамин D5 – ситокальциферол
Витамин D не является витамином в классическом виде — он синтезируется в организме в неактивной форме и взаимодействует со специфическими рецепторами (VDR), что свойственно не витаминам, а гормонам. Поэтому правильнее говорить о витамине D как о стероидном гормоне.
Витамин D может поступать в организм двумя путями: с пищей и в результате синтеза из 7-дигидрохолестерола в эпидермисе под воздействием УФ лучей. На эффективность синтеза витамина D оказывают влияние климатические условия, географическая широта, уровень загрязненности воздуха, степень пигментации кожи, возраст и пр. Поэтому далеко не всем удается удовлетворять потребность витамина D за счет натурального синтеза.
Образовавшийся в коже и поступивший с пищей витамин D связывается со специфическим транспортным белком — часть его транспортируется в жировую и мышечную ткани (депо), а основное количество поступает в печень. Здесь происходит первый этап биотрансформации — образуется витамин D3 — 25(ОН)D3 (кальцидиол). Несмотря на многообразие форм только витамин D3 рассматривают как истинный витамин, остальные представители этой группы считаются его производными.

Рис.6 Витамин Д.
Второй этап преобразования витамина D происходит в почках где образуется гормонально активная формы витамина D — 1,25(ОН)2D3 (кальцитриол). Синтез кальцитриола в организме очень жестко регулируется, его образование происходит только при потребности организма в кальции или в кальцитриоле, для функционирования других органов и тканей. Синтез кальцитриола регулируют паратиреоидный гормон.
Желчные кислоты
Желчные кислоты — стероидные соединения (липиды класса стероидов) входящие в состав желчи. Образуются в печени (в эндоплазматическом ретикулуме гепатоцитов при участии цитохрома Р450, кислорода, НАДФН и аскорбиновой кислоты) из холестерина. До 75% холестерина, образуемого в печени, идет на синтез желчных кислот. Желчные кислоты являются конечным продуктом метаболизма холестерина в гепатоците и синтез желчных кислот является одним из важных путей выведения холестерина из организма.

Рис.7 Синтез желчных кислот в печени.
Свободные желчные кислоты (холевая и хенодезоксихолевая), образуемые в печени из холестерина, являются первичными. В желчь кислоты поступают уже в виде конъюгатов (соединений) с аминокислотами таурином и глицином. В результате конъюгации образуются тауро- или гликохолевая кислота и тауро- или гликохенодезоксихолевая кислота.
Вторичные желчные кислоты (литохолевая, дезоксихолевая, 7-кетолитохолевая) образуются из первичных в кишечнике под влиянием бактерий. Третичные ЖК (сульфолитохолевая и урсодезоксихолевая) — результат модификации (изомеризации) вторичных ЖК кишечной микрофлорой или гепатоцитами.
Желчные кислоты, в составе желчи, оказывают важные пищеварительные эффекты — эмульгация (переваривание) жиров поступающих с пищей, стимуляция панкреатической липазы (перевод ее в активное состояние), образование мицелл (форма для транспорта жирных кислот), а также стимулируют выход в желчь холестерина для выведения его их организма.
Если вам понравилась статья нажмите пожалуйста на значок   , нам очень важно ваше мнение!
И не забудьте подписаться на ежемесячную рассылку полезной информации от HBCenter. В подарок вы получите методичку “10 шагов к здоровому кишечнику” + рецепты. В рассылке никакого спама, только анонсы видео и новых статей, новости и акции, все самое важное, интересное и полезное для вашего драгоценного здоровья.